Before all other things, I study power and politics. Keen awareness of elite theory keeps one alert of Schmittian exceptions, which is to say when
special allowances are made in one case but not in others. The vexed area of IQ research is one such case. For example, notorious race-denier Jordan Peterson, who believes that white collectivism is an unspeakable evil, in the next breath will happily repeat the claim that Jews have
a mean IQ of 115. This same sleight of hand is played by Steven Pinker
who dismisses The Bell Curve as it pertains to race, but in
another context pulls out the same stat: ‘Their average IQ has been measured at 108 to 115, one-half to one standard deviation above the mean.’ In elite theory, we call a story that justifies the dominance of one group over others a
political formula. The de facto hypothesis, as per Vilfredo Pareto, is that no political formulas are true and none can stand up to real scrutiny because they seldom if ever have any basis in fact; in effect, they are simply
legitimacy myths used to post-hoc rationalise why this group is in power as opposed to any other group. Thus, before looking at any other information whatsoever, elite theory would look at 1. the over-indexing of Jewish people in positions of power in America, and 2. the reasons given for this by their apologists such as Peterson and Pinker, and conclude 3.
the myth of Jewish high IQ is not a fact, but a political formula devised to legitimate power. Ah, but surely IQ statistics should be relatively easy to find and this claim – unlike other political formulas such as ‘I have been sent by God’ or ‘I speak for the will of the people’ – can be proven using hard data, no? Well, let’s have a look.
First, before I start, I will accept no
proxies for actual IQ scores which are typically offered. By far the two most common examples are World Chess Champions and Nobel Prize Winners. The first can be dealt with very simply. It is pointed out that 44% of World Chess Champions are Jewish, it is less common to point out that 100% of chess champions come from just nine nations, and, until very recently when the Chinese have started to dominate,
just six. Before 1948, it seems that London acted as the centre of chess and entrants had to raise a £10,000 wager just to take part. Unsurprisingly, in that earlier period a lot of the champions were British. After 1948, FIDE was established but from almost the moment of its inception, it was dominated by the Soviet Union and specifically the Russians. After this point, almost all the champions are Russian except for, notably, one American – Bobby Fischer, who you can read about in your own time – and more recently Indian and Chinese champions who have started to break through precisely at the moment China is emerging as a new superpower. Strange how that works. On the Nobel Prize all I will say is that elite theory can serve us well once more:
Nobel Prizes are not a neutral institution; they are not selected in an open manner, but tightly controlled through a committee. They demonstrate nothing beyond what power selects. The claim that prizes from this body are an objective measure of anything, therefore, must be discarded. Nothing else needs to be said. I will now look for the objective standard most commonly cited: the measure of the IQ Test!
Let us turn to Charles Murray, who, in an astonishing passage in an article called
‘Jewish Genius’ in 2007, had this to say:
Insofar as I am suggesting that the Jews may have had some degree of unusual verbal skills going back to the time of Moses, I am naked before the evolutionary psychologists’ ultimate challenge. Why should one particular tribe at the time of Moses, living in the same environment as other nomadic and agricultural peoples of the Middle East, have already evolved elevated intelligence when the others did not?
At this point, I take sanctuary in my remaining hypothesis, uniquely parsimonious and happily irrefutable. The Jews are God’s chosen people.
In other words, he rearticulates an older political formula to justify the supposed superiority of these people. In fact, the historical record shows that Jews did not historically have this reputation for cleverness and it is a relatively recent claim which is
easily dismantled as R. Brian Ferguson has done.
If we work backwards from the Ferguson paper, we find another article from 2005 called
‘The Natural History of Ashkenazi Intelligence’ by Gregory Cochran, Jason Hardy, Henry Harpending. What is their evidence for the claim that Ashkenazi Jewish IQ is higher than everyone else’s? Let me quote them:
Ashkenazi Jews have the highest average IQ of any ethnic group for which there are reliable data. They score 0.75 to 1.0 standard deviations above the general European average, corresponding to an IQ 112-115. This has been seen in many studies (Backman, 1972; Levinson, 1959; Romanoff, 1976), although a recent review concludes that the advantage is slightly less, only half a standard deviation Lynn (2004).
Okay, so these researchers haven’t conducted any IQ tests on anyone but rather cite other papers that have supposedly done this work already; so intrepid researchers we can work backwards again to find the evidence. Being your dedicated scholar, I did that. The only one that is inaccessible is the study by J.S. Romanoff which was an unpublished dissertation only available on
a microfilm reel at the National Library of Israel – friends I am your dedicated scholar, but I’m not
that dedicated!
Let us start with Richard Lynn’s
‘The Intelligence of American Jews’ from 2004. Here we find two astonishing facts. First is that Lynn seems to
estimate Jewish verbal IQ, not from actual test results, but from ‘American General Social Surveys carried out by the National Opinion Research Centre in the years 1990–1996’ because ‘Vocabulary size is a good measure of verbal intelligence.’ In other words, he is
guessing the verbal IQ from the total number of different words the respondents of this survey knew. It is hardly the smoking gun one expects. Perhaps more astonishingly, Lynn’s paper reveals that the claim for Jewish high verbal IQ comes from a study conducted in 1970 with a sample size of only 65 boys from a single school:
Another problem with a number of the studies that have found that Jews have higher verbal IQs than gentiles is that several of them are based on very small sample sizes. For instance, Seligman (1992, p. 130) writes that ‘Jewish verbal superiority appears unmatched in any other ethnic group. An often-quoted 1970 study performed by the Ann Arbor Institute for Social Research shows Jewish tenth-grade boys with an average verbal IQ equivalent of 112.8 (on the Stanford-Binet metric) about three quarters of a standard deviation above the average for non-Jewish white boys’. This is the Bachman (1970) study in which the number of Jewish boys was 65.
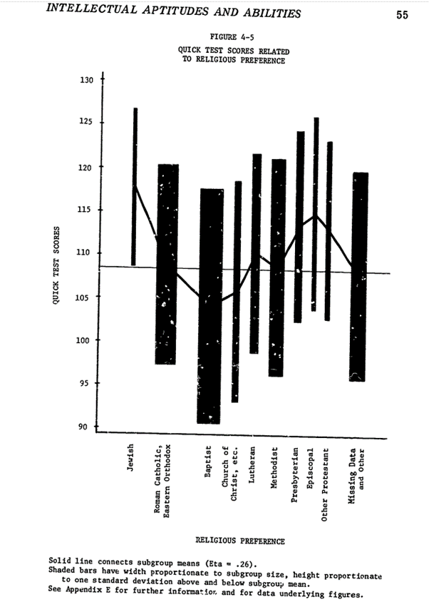
Turning to
this obscure study we find that it did not use the standard IQ test, but the
Ammons Quick Test devised in 1962. The widely cited data – repeated by such luminaries as Peterson and Pinker – can be found on page 55.

The problems with this data should be obvious: it is too small, only 15-year-old boys are tested, and all of them are from the same background. Why did Bachman produce this basically unusable table? Because, in fairness to him, his study was never about race differences in IQ; a clue can be found in the title of that study:
The Impact of Family Background and Intelligence on Tenth-Grade Boys: Youth in Transition.
Let us move onto the next study:
Backman 1972. Once again, the data
does not contain IQ scores, but rather later researchers have
estimated IQ Scores by extrapolating it from Project TALENT data. It is revealed on page 3 that Project TALENT measures subjects like so:
The six mental ability factors examined were: Verbal Knowledges (VKN) –.a general factor, but primarily a measure of general information; English Language (ENG) – a measure of grammar and language useage; Mathematics (MAT) – a measure of high school mathematics with a minimum of computation; Visual Reasoning (VIS) – a measure of reasoning with spatial forms; Perceptual Speed and Accuracy (PSA) – a measure of visual-motor coordination under speeded conditions; and Memory (MEM) – a measure of short-term recall of verbal symbols.
Thus, we can see that the mathematics component is not exactly an IQ test but ‘a measure of high school mathematics with a minimum of computation’. Again we are in the realm of
proxies using 12th-graders rather than actual IQ data, but nonetheless what does the data tell us? Let’s take a look:

While some people like to look at this and pull out higher male Jewish scores in mathematics, the thing that jumped out to me was the fact that it claims
poor black boys are better at mathematics than rich Jewish girls. I’m surprised our friends on the left have not latched onto that one. Is this data replicated anywhere? Do we see black boys outperforming Jewish girls in mathematics today? Can these scores from 1972 be held to be representative of these racial groups? Since when do ‘Orientals’ have superior English grammar skills to whites? Are we just going to ignore the fact that, according to this, poor Black male ‘verbal IQ’ is slightly above poor Jewish male ‘verbal IQ’? You can do what you wish; erring on the side of caution, I would be more prone to say that this is
junk science akin to looking at the GCSE scores of Hindu girls in Britain today and using them to suggest that they are intellectually much superior to white boys.
Because it seems no one actually does IQ research by, y’know, giving lots of people IQ tests, for our next port of call we need to go
right back to 1959 to a study by B.M. Levinson. Now we’re relying on data from more than 64-years ago to make generalisations about Amy Schumer, Anthony Blinken and Ben Shapiro! Let’s ignore for a moment
the point made by Sander L. Gillman that intelligence can decay; his example is that Olivia Newton-John was the granddaughter of ‘the 1954 Nobel prize winner Max Born’ – to me this seems to assume much about both Born’s and Newton-John’s respective IQs. But what does Levinson say? This paper was trying to measure the difference between the verbal IQs of monolingual and bilingual Jews. These are the findings:

At least here we have actual IQ test scores, but alas look at the tiny sample sizes. We are now expecting the test results from these 57 children from 1959 to tell us about
Jewish people as a whole or even just
Ashkenazi Jews? Would you feel confident in citing this as evidence for, well, anything? You might, but I would not.
Israel, which should be a good test case of Jewish intelligence, is not much help in this regard.
The Times of Israel has lamented its low achievement in mathematics in the surprisingly titled
‘Why Yoni and Yael Can’t Do Math’. The reason, we are told, is because Israel possesses ‘a society-wide lack of discipline and disdain for rules’.
Arabs are separated out in the data as shown, and inequality between the best and worst Hebrew students is wide, but then the article quickly points out that ‘even Israel’s best students are not that stellar compared to top students in other developed countries’. That’ll be those Ashkenazis I keep being told are the cleverest people in the world. Unlike many of the other measures we’ve looked at, this is a standardised international test that makes for fair country-to-country comparisons.
So now we are at the other end of the rabbit hole, have we come out the other side with the slam-dunk data which Peterson and Pinker present as fact? It’s plain that we have not. Their claim is something like ‘Jews are overrepresented in American positions of power and influence because of their high IQ’ but a more accurate articulation of this argument would be something like ‘Jews are overrepresented in American positions of power and influence because 65 fifteen-year-old boys scored well on a quick test in 1970 and 57 monolingual Jewish children in 1959 scored well on a Stanford Binet Test.’ The argument is never presented that way. Their argument has come out of this process greatly damaged. What of my argument? Let us revisit the de facto hypothesis of elite theory as it pertains to this case: the myth of Jewish high IQ is not a fact, but a political formula devised to legitimate power. You can be the judge of that.