Some comments on information theory

  • Thread starter Thread starter Cleopatre VII
  • Start date Start date
I am aware that I said I would make another post this evening, but I am unable to meet that commitment. I am stuck in that old saying "the paralysis of analysis". I know from the first communication effort between us, that the gap in communication, language, consciousness, thinking, is a barrier, and I am trying to decide where I need to go. It may take me a while. I just need to decide if bridging that gap is possible.

I will make another post, but it will take a while and I am unsure of where it will go and if I am just wasting your valuable time.

Even reading this post here that I have made, I have trouble with it, as reading it to myself, it seems as if it is some pity ploy. I just need to think a bit and see if I can come up with some way that leads to a point of confluence between two very different levels/states/imprinted and reinforced brain circuits/consciousness's, where something I express clicks with you. It is my task.
 
"No. I think it represents the Euler Product"

Do you agree with me that for s>1 the Euler product, as defined in Euler Product -- from Wolfram MathWorld is convergent to a finite number, while for s=1, as in your case, it is just a formal expression that diverges to plus infinity?

The point is that we need to be clear about facts. Only after we are completely clear about our 3D reality, only then we can meaningfully attempt to cross the reality boundaries and wander into still unknown dream lands.

So, do you fully agree with my statement that I put in bold above?
I absolutely agree with you. But the problem is that what I want to pursue, has nothing to do with that.
 
I absolutely agree with you. But the problem is that what I want to pursue, has nothing to do with that.
Then describe ,as clearly as possible, what is it that you want to do with that. And no, you are not wasting my time at all. I have learned something new from our discussion, and it is important for me to learn new things. I thank you for that. You never know when such a new knowledge will be useful!
 
I just need to think a bit and see if I can come up with some way that leads to a point of confluence between two very different levels/states/imprinted and reinforced brain circuits/consciousness's, where something I express clicks with you. It is my task.

That is brainstorming. We throw a lot of ideas, they do not have to be rational. They should be "new". Out of 100 of such ideas, one or two may lead to something useful. Otherwise nothing new can be created. But discarding bad or useless ideas is an important part of such a brainstorming session.

It is allowed to say: "I want to play with a formal expression that does not necessarily have a mathematical sense according to the formalized mathematics". That's fine. Playing sometimes leads to discoveries. But not always. And one should be aware of this fact.
 
Last edited:
That is brainstorming. We throw a lot of ideas, they do not have to be rational. They should be "new". Out of 100 of such ideas, one or two may lead to something useful. Otherwise nothing new can be created. But discarding bad or useless ideas is an important part of such a brainstorming session.

It is allowed to say: "I want to play with a formal expression that does not necessarily have a mathematical sense according to the formalized mathematics". That's fine. Playing sometimes leads to discoveries. But not always. And one should be aware of this fact.

I am still here. Yes I am brainstorming, more about how to start in a better way. I have kind of figured it out. I also want to mention that I have some health issues, good days, bad days, and it just also factors in to my interaction here.

I need to start at the beginning and I will try to keep it brief and concise. But I think I should start with my own experience with the "Cassiopaean Experiment", just brief, my understanding of what is going on. It will provide perhaps a snapshot or insight into my own thinking processes, and what I want to try to demonstrate is directly connected to this "Cassiopaean Experiment". Part of my thought experiment only exists because of some of these concepts presented from my exposure to the "Cassiopaean Experiment" and it would be better to present up front how I interpret not only the "Cassiopaean Experiment", but also a couple of those basic concepts it presents. If there is not some kind of minimal agreement on some of these basic concepts, then I don't think I will be able to demonstrate how they apply in my thought experiment.

So that is where I will start.

That is what I am working on.
 
Describing the Cassiopaean Experiment is difficult. Most of the terms to describe it are terms I was not really familiar with before I became aware of it. The Cassiopaean Experiment entered my world maybe 24 years ago doing searches with the AltaVista search engine over a dialup modem. The cosmology or structures and views of what reality is, presented by the C's information, was very intriguing. Trying to describe all of the concepts and information presented could be its own thread of thousands of pages. So I will mention a small subset that I think are kind of fundamental to this information. But I cannot present even a fraction of the information.

Free will is fundamental.
Everything is ultimately about balance.

Reality is one big school.
All there is, is lessons. Each person chooses the lessons that they need to grow and expand their consciousness.

There is a fundamental structure of sorts to reality.
It has 7 levels, referred to as densities.
Levels 1-4 comprise physical reality.
Levels 1-4 are 1/2 physical and 1/2 conscious energy.
Levels 5 and 6 are composed entirely of pure conscious energy.
Level 7 is its own unique description as 'Union with the One'.

The levels kind of represent consciousness awareness profiles
1 - rocks, minerals, plants
2 - animals
3 - in our realm, us, humanity
4 - variable physicality, the highest level of expression for STS and physicality
5 - pure conscious energy, the contemplation zone for deciding on ones lesson plans and recycling into lower levels for learning.
6 - a second even higher level of pure conscious energy, the residence of the 6th density STO unified thought form beings of light, the C's
7 - Union with the One

There are basically two ways to experience reality. An STS (Service to Self) path and an STO (Service to Others) path.
STO is outward and touches all including self.
STO is described as having limitless possibilities, not putting constraints on what is possible, being able to see all possibilities, not just seeing what you want see, but being able to see everything as it is.
STO is also described as true balance and giving to all who ask. (Many nuances on what constitutes true asking.)
One principle of STO is networking, working in group efforts, having many inputs and sources, views, contributions, everyone gives and receives, benefiting all, not just self.

STS goes inward and touches only self.
STS is described as limiting, restricting what is possible, seeing only what you want to see, putting constraints on what is possible. One of the results of the STS path is, the constraints that you put on what is possible, means that you will rarely ever see anything more than what you have defined within those constraints you are imposing on the limitless possibilities of reality. The C's describe this as simply wishful thinking, imposing constraints on reality which constrains consciousness to only being able to see within those constraints.

Humanity is aligned with the STS path. It has not always been that way. There is so much more to everything, but Laura in her yearning to make sense of this world we are in, its cruelty, its lies, its insanity, its contradictions, she and her soul alignment found a way to truly ask for help and that opened a connection with this 6th density unified thought forms signal that pervades all of existence. The connection is a reply to that call she sent out to the cosmos. You could say that Laura represents all of humanity in its yearning for a better world.

There are dozens or even hundreds of more concepts / aspects to this "Cassiopaean Experiment" and I could start listing off all of those, but it would make a huge list list.

What is the Wave? What is the realm border crossing? STO is balance, networking, the work, clues throughout the transcripts, clues in our language, history, everywhere, "10 percent inspiration and 90 percent hard work", all of the projects, ...

I think the base set of concepts of the C's information are the core idea of the cosmology and the concepts of STS and STO.

After 30 years of the "Cassiopaean Experiment", it is amazing to see how it has grown using some of the basic ideas of being open to all possibilities, non-anticipation, following clues and threads with research into psychology/psychopathy, history, religions, Caesar, language, that growth and expansion of knowledge in so many ways, kind of confirming the mess we are in, in our reality. And darned if we aren't in the middle of this STS STO battle reflected in our realm by the escalating craziness, insanity, and self destruction. It seems that the realm border crossing is very near.

That leads to moving forward with this Thought Experiment of mine. The concept or aspect of the C's cosmology that my thought experiment may be related to. That aspect is simply the difference in thinking that encompasses the STS path and the STO path. The idea of wishful thinking of STS and it being described as "only being able to see what you want to see," and the limits to that path.

In contrast there is STO, that is described as being open to all possibilities, being able to see all possibilities, seeing in unlimited ways, unlimited terms.

I hope if nothing else my Thought experiment demonstrates this conceptually, even if the end point of my though experiment is not entirely successful.

My next post will be just a couple of quotes from the C's transcripts that hones in on or reiterates some of the clues or descriptions of these two thinking patterns.
 
The session quotes that apply to my thought experiment.

Session 7 May 1995
Q: (L) Are you saying, essentially, that it is the way it is because things are just arbitrarily that way?

A: No, we are trying to teach you how to complete the puzzle.

Q: (T) So the reason it is what it is and why is something we have to figure out.

A: And you have to figure out what is reason?

Q: (T) The reason for what? (J) For the seven.

A: No. No. No. Pay attention, please. What is reason?

Q: (J) As in reasoning?

A: Much of your learning to this point is based upon assumption of definitions of reality.

Q: (L) And, all of our assumptions are completely wrong?

A: Not all.

Q: (J) Anything that is rooted in 3rd density doesn't apply in most of these things and that's where we have to let go.

A: Logic is subjective.

Q: (L) Is symbolic logic as is used in mathematics subjective?

A: No.
In the 'Session 7 May 1995' above, our learning being based on assumption of definitions of reality, specifically assumption of definitions. A couple lines later the C's say "Logic is subjective", but then Laura asks specifically about if symbolic logic used in mathematics is subjective, and the C's answer No. So if our logic is subjective, but symbolic logic is correct, then what part of our logic process is the problem?

Session 10 July 1999
Q: (A) Okay, no clue there. Now, next question relates to the story of creation which L wrote for the website, and I was reading it and trying to make sense, to make it not contradictory, and I found that it is not easy because many of the concepts that are used during these sessions are somehow contradictory to each other or they don't quite fit with the standard meanings of these concepts, so I wanted to ask for some explanation. First, we were told that gravity is essentially the most universal force and that it is from this that everything originates...

A: Gravity is the binder.

Q: (A) But, my question is: gravity is a term that is defined in dictionaries and encyclopedias and is a term which has a very precise meaning for physicists and mathematicians. I want to know if you are talking about the same thing or if you are using the term 'gravity' to describe something completely different that we know as gravity. Are we talking about the same thing?

A: Well, are you certain these "definitions" you speak of are not limited?

Q: (A) Yes, I am sure they are limited. Nevertheless, they are precisely defined concepts and you are using the same term 'gravity,' so I am asking if we are talking about the same thing, or if you are talking about something completely different?


A: How about a great expansion upon the same concept?
In the above Session 10 July 1999, "definitions" come up again and I am curious as to why Ark responded the way he did. I am guessing that what the C's are trying to get across is a warning. I am guessing that the point the C's are trying to make is that definitions have an inherent STS risk involved in them, as in "only being able to see what you want to see." It seems logical that constraining things to the thing we are looking for has an inherent risk where that is the only thing we see and move on, not realizing that the definitions themselves prevent us from seeing other possibilities. I am not sure how to do math and scientific enquiry without them (definitions), but perhaps just being aware of that risk helps.

Session 10 October 1998
Q: (A) Okay, I will. Now, I was communicating a little bit with a Finnish guy, Mattie Pitkanen, and he has a lot of material on his web pages and in his publications, which are very close to what I am thinking. First question, is he somehow channeling through his publications?

A: Yes.

Q: (A) Who is he channeling?

A: All the masters have channeled, whether aware or not. The "who" is not Germaine.

Q: (A) It is not important. Now, he is talking a lot about p-adic numbers which are different from real numbers, and they are related to prime numbers, and it is a whole big area which may be important for development for the right mathematics for the future. What about p-edic numbers? Are they important?

A: Yes.

Q: (A) Should I learn them?

A: With room for alterations the key to quantum jumps is always in discovering "new" mathematics.
In the above session Session 10 October 1998, we have the C's saying that any step change / great expansion of information and knowledge is always accompanied by "new" mathematics.

This idea can be directly related to the idea of our definitions constraining possibilities and only seeing what we are looking for.

A good example of this may be Euclid's parallel postulate (one of our definitions / constraints) and Hyperbolic Geometry or Non-Euclidean geometries. Euclid's parallel postulate, kind of prevented us from seeing other possibilities, but someone went outside those constraints of that definition and when they did a whole new branch of mathematics was the result. That explosion in new knowledge / new mathematics arose from changing one little definition. I am sure there was more involved in the discovery of "Hyperbolic Geometry", but I think it is a good example of what the C's may be talking about and that is kind of the warning they are trying to get across, that there is a narrowing of possibilities that may make us miss something really big.
 
In the above session Session 10 October 1998, we have the C's saying that any step change / great expansion of information and knowledge is always accompanied by "new" mathematics.
Three years ago in this thread I said this to you
I could see things like prime numbers and surreal numbers being related to branching in quantum physics but I can only say that, I can't show that.

and that session said:
Q: (A) Okay, I will. Now, I was communicating a little bit with a Finnish guy, Mattie Pitkanen, and he has a lot of material on his web pages and in his publications, which are very close to what I am thinking. First question, is he somehow channeling through his publications?

A: Yes.

Q: (A) Who is he channeling?

A: All the masters have channeled, whether aware or not. The "who" is not Germaine.

Q: (A) It is not important. Now, he is talking a lot about p-adic numbers which are different from real numbers, and they are related to prime numbers, and it is a whole big area which may be important for development for the right mathematics for the future. What about p-adic numbers? Are they important?

A: Yes.

I've talked to Matti Pitkanen online before since he has the same 8-dim spacetime as I like (via Tony Smith) but the branching math via prime numbers (p-adic numbers) or surreal numbers is something I didn't understand. Branching is a vertex to vertex thing and I kind of specialize in just understanding what is at a single vertex. I suspect prime numbers do relate to the branching part but three years later I still can't show that even in the same way as someone like Matti Pitkanen. Tony Smith kind of did the same thing with surreal numbers and I didn't understand that either. I don't understand what you are doing either but you are in very good company for this (Matti and Tony).
 
Actually I started reading
"Paranormal Science TGD-physics and Life-after-Death the vision of Matti Pitkänen, PhD" by Mark McWilliams (692 pages). His site: Articles.htm
I am at the beginning, reading autbiography written by Matti.
 
Last edited:
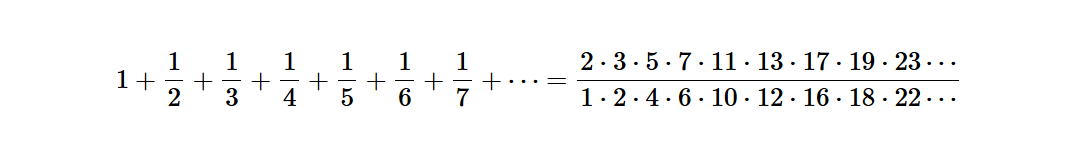
To start out with this thought experiment once again, I need to start small. The thought experiment relies on three basic sets of numbers and the idea that each set if written as an infinite sum, can also be written as an infinite product representing the entire set. Secondly, the representation of any single element of each set can be written as an infinite product taken over all prime numbers.

The sets are:

1) The inverse natural numbers
2) The natural numbers
3) The rational numbers

1) The inverse natural numbers: infinite sum = infinite product.

The first set we have already seen. The inverse natural numbers represented as an infinite sum (harmonic series) has an equality that it can also be written as an infinite product.

The Euler product:
euler_001.png

and the Euler product with each term of the infinite product expanded as an inverse prime power series
euler_002.png


1a) Each individual element of the inverse natural numbers can be written as an infinite product taken over all prime numbers, as:
inv_nat_element_inf_prod.png

Where each prime number term has as choices for the its exponent either 0 or a negative integer value.

There is one constraint on an inverse natural number being represented as an infinite product and that is, only finitely many terms of the infinite product can have an exponent choice that is non-zero.

2) The natural numbers: infinite sum = infinite product

The natural numbers represented as an infinite sum has an equality that it can also be written as an infinite product.
euler_nat_001.png

2a) The natural numbers - each element can be represented as an infinite product over all prime numbers.

Each individual element of the natural numbers can be written as an infinite product taken over all prime numbers, as:
nat_element_inf_prod.png

Where each prime number term has as choices for the its exponent either 0 or a positive integer value.

There is one constraint on a natural number being represented as an infinite product and that is, only finitely many terms of the infinite product can have an exponent choice that is non-zero.

3) The rational numbers - infinite sum = infinite product

The rational numbers represented as an infinite sum has an equality that it can also be written as an infinite product.
euler_rat_001.png

3a) The rational numbers - each element can be represented as an infinite product over all prime numbers.

Each individual element of the rational numbers can be written as an infinite product taken over all prime numbers, as:
rat_element_inf_prod.png

Where each prime number term has as choices for the its exponent either 0, a positive integer value, or negative integer value.

There is one constraint on a rational number being represented as an infinite product and that is, only finitely many terms of the infinite product can have an exponent choice that is non-zero.


These three basic pieces of information are the starting point for my thought experiment. I think the definitions for 1a, 2a, 3a, are well known. But the representation of the naturals (2) as an infinite product and the representation of the rationals (3) as an infinite product may not be. If you know of references for the representation of the naturals (2) as an infinite product and/or references for the representation of the rationals (3) as an infinite product, I would like to know them and that they exist, otherwise I will try to show that they are so, from a simple piece of evidence that is a couple of thousand years old.
 
Actually I started reading
"Paranormal Science TGD-physics and Life-after-Death the vision of Matti Pitkänen, PhD" by Mark McWilliams (692 pages). His site: Articles.htm
I am at the beginning, reading autbiography written by Matti.
through this post, i discovered www stealthskater. what an extraordinry site !!! it contains ALL the subjects i was wondering about... many thanks.
 
These three basic pieces of information are the starting point for my thought experiment. I think the definitions for 1a, 2a, 3a, are well known. But the representation of the naturals (2) as an infinite product and the representation of the rationals (3) as an infinite product may not be...
The sum of the naturals is n(n+1)/2 so I think your representation of the naturals as an infinite product might be too big?
 
The sum of the naturals is n(n+1)/2 so I think your representation of the naturals as an infinite product might be too big?
Yes, but I think that is for any finite n. The sum of the entire set does not make sense in this regard, as n goes to infinity and infinity times infinity plus 1 divided by 2? And the sieve of Eratosthenes already shows us that the sum of all naturals is an infinite product of prime power series. The sieve of Eratosthenes is not just a way to find the next prime number. It has a lot more information in it. There is a reason that the sum of the inverse naturals just happens to have an equality that is an infinite product of inverse prime power series and it is the same reason that the sum of the natural numbers also have an equality that is an infinite product of prime power series.

Just think about the sieve of Eratosthenes. Cross out all the numbers divisible by 2 ( the evens ), and the remainder set not crossed out are the odds. What are the evens? How about 2 times every number that does not have a factor of 2, the odds, and then 4 times every number that does not have a factor of 2, then 8 times every number that does not have a factor of 2, etc.

You can write a simple program to test the evens. Feed in every even number into your program, if the even number is divisible by 2 and not divisible by 4, write it to an output file 2_1, if the even number is divisible by 4 and not by 8, write it to an output file 2_2, if the even number is divisible by 8 and not by 16, write it to an output file 2_3, rinse and repeat. Now read every number you wrote to 2_1 and divide it by 2, the result will be the odds. Now read every number you wrote to 2_2 and divide it by 4, the result will be the odds. Now read every number you wrote to 2_3 and divide it by 8, the result will be the odds. Rinse and repeat. Do the same thing for the sieve of Eratosthenes 3 set ( you have all numbers divisible by two crossed out, then cross out all numbers divisible by 3. All those numbers divisible by three, write to an output file 3_0. The remainder set after crossing out all evens and all numbers divisible by three, write that set out to 3_rem (3 remainder set). Now do the same thing you did with the evens but for the set written to 3_0. for each number input from the fie 3_0, if the input number is divisible by 3 and not divisible by 9 write it out to file 3_1, if the input number is divisible by 9 and not divisible by 27 write it out to file 3_2, if the input number is divisible by 27 and not divisible by 81 write it out to file 3_3, rinse and repeat. Now read in the numbers of 3_1 and divide each by 3, the result is the 3_rem set, read in the numbers of 3_2 and divide each by 9, the result is the 3_rem set, read in the numbers of 3_3 and divide each by 27, the result is the 3_rem set, rinse and repeat.

Here is a primitive excel spreadsheet with a small sample. Hopefully the link works - excel

With the information already contained in the sieve of Eratosthenes we then have the following:

soe_01.png

The right hand side of the equation can be rewritten into a sum of the evens plus the odds.
soe_02.png

From the sieve of Eratosthenes it is known that the evens are just the 2 power series times the odds.
So the evens can be rewritten as such.

soe_03.png

Being that there is a common term inside of the product and outside of the product (the odds), that term can be moved to the inside of the product by simply adding a 1 to the 2 prime power series.

soe_04.png


The next step, is to rewrite the second term of the above product into the next sieve of Eratosthenes sets. The odds can be rewritten into the subset of natural numbers having the smallest common prime factor of 3, and the remainder of the odds minus such a set.
soe_05.png

From the sieve of Eratosthenes it is known that the subset of naturals having the smallest common prime factor of 3, is simply the 3 power series times the remainder set, which results in.
soe_06.png

The above process can be continued for each sieve of Eratosthenes set, the subset of naturals having the smallest common prime factor of 5, the subset of naturals having the smallest common prime factor of 7, the subset of naturals having the smallest common prime factor of 11, ... Eventually the sum of all natural numbers can be rewritten into a product of prime power series.
soe_07.png

As:
soe_01.png

We have:
soe_08.png
 
Back
Top Bottom